center of mass
Center of mass
The statement that gravity acts on the center of mass is slightly inaccurate. Realistically, gravity acts on all points of an object. However, we can model this problem as an equivalent system where the net force acts upon the center of mass of the object.
Assume we have a body \[E\], we separate them into \[n\] amounts of particles. Each particle would be located at position \[\mathbf{x}_{i}\] and have mass \[m_{i}\], making the total mass of the body \[M=\sum_{i=1}^{n}m_{i}\]. Since we're assuming the system is placed in a uniform gravitational field \[\mathbf{g}\], every mass experiences the same acceleration \[\mathbf{g}\]. The force acting on each tiny particle is \[m_{i}\cdot \mathbf{g}\] (as \[\mathbf{F}=m\mathbf{a}\]), thus the net external force on the entire body is \[\mathbf{F}=\sum_{i=1}^{n}m_{i}\mathbf{g}\implies \mathbf{F}=M\mathbf{g}\].
Now, define a special point \[\mathbf{X}(t)\] that we will identify as the center of mass of the system. Newton's second law tells us that the net force the a system equals to the total mass times acceleration of this special point, i.e. \[\mathbf{F}=M\ddot{\mathbf{X}}(t)\], where \[\ddot{\mathbf{X}}=\frac{d^{2}\mathbf{X}(t)}{dt^{2}}\], or acceleration if \[\mathbf{X}\] is the position. We also know that \[\mathbf{F}=M\mathbf{g}\], which implies that \[\ddot{\mathbf{X}}(t)=\mathbf{g}\]. In other words, \[\mathbf{X}(t)\] accelerates exactly like each individual mass would in a uniform gravitational field.
To simplify and summarize, given a rigid body in a uniform gravitational field, considering the entire weight force as being applied at the centre of mass is mathematically equivalent to having that weight spread out and applied all over the body.
Rods
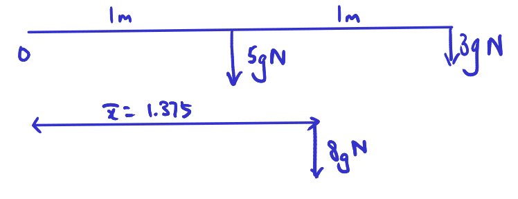
On a 1-dimensional plane, the center of mass is calculated via the formula \[\frac{\sum_{i=0}^{n}x_{i}m_{i}}{\sum_{i=0}^{n}m_{i}}\].

In the above example, we originally have a rod of length 2m with mass of 5kg, and a load of mass 3kg at the opposite end. Thus, the new center of mass, denoted by \[\overline{x}\] based on the general formula would be \[\frac{(1\cdot5)+(2\cdot3)}{5+3}=\frac{11}{8}\].
2-dimensional object with discrete mass distribution
For 2-dimensional object, the coordinate of the center of mass, \[\overline{x}\] and \[\overline{y}\] can be found via the formula \[\overline{x}=\frac{\sum x_{i}m_{i}}{\sum m_{i}}\] and \[\overline{y}=\frac{\sum y_{i}m_{i}}{\sum m_{i}}\], where \[x_{i}\] and \[y_{i}\] are the coordinates of the \[i\]th mass point.

According to the formula, the coordinates of the center of gravity would be \[\overline{x}=\frac{(0\cdot2)+(0\cdot5)+(4\cdot4)+(4\cdot4)}{2+5+4+4}=\frac{32}{15}\] and \[\overline{y}=\frac{(0\cdot2)+(2\cdot5)+(0\cdot4)+(4\cdot2)}{2+5+4+4}=\frac{6}{5}\]. Therefore the coordinate of the center of gravity is \[\left(\frac{32}{15},\frac{6}{5}\right)\].