cubics

Cubics

Cubic equations are in the form of \[ax^{3}+bx^{2}+cx+d=0\] or

\begin{equation} \tag{1} x^{3}+\frac{b}{a}x^{2}+\frac{c}{a}x+\frac{d}{a}=0 \end{equation}

Let the roots of the equation above be \[\alpha\], \[\beta\] and \[\gamma\].

\begin{align*} (x-\alpha)(x-\beta)(x-\gamma)=0 \\ \tag{2} x^{3}-(\alpha+\beta+\gamma)x^{2}+(\alpha\beta+\alpha\gamma+\beta\gamma)x-\alpha\beta\gamma=0 \end{align*}

By comparing (1) and (2) we get that:

\begin{align*} \alpha+\beta+\gamma&=-\frac{b}{a}=\Sigma\alpha=S_{1} \\ \alpha\beta+\alpha\gamma+\beta\gamma&=\frac{c}{a}=\Sigma\alpha\beta \\ \alpha\beta\gamma&=-\frac{d}{a}=\Sigma\alpha\beta\gamma \end{align*}

Note: There's a difference between \[\Sigma\alpha^{2}\] and \[(\Sigma\alpha)^{2}\]. \[\Sigma\alpha^{2}=\alpha^{2}+\beta^{2}+\gamma^{2}\] while \[(\Sigma\alpha)^{2}=(\alpha+\beta+\gamma)^{2}\].
A useful trick for solving cubic-related problems is that:

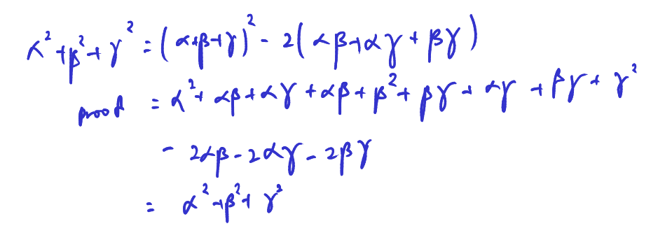
\begin{align*} (\alpha+\beta+\gamma)^{2}=(\alpha^{2}+\beta^{2}+\gamma^{2})+2(\alpha\beta+\alpha\gamma+\beta\gamma) \end{align*}

A somewhat related proof for the above equation:

20240406-183736.png

Another useful trick would be that:

\begin{align*} S_{3}=\alpha^{3}+\beta^{3}+\gamma^{3}=(\alpha+\beta+\gamma)^{3}-3(\alpha\beta+\alpha\gamma+\beta\gamma)(\alpha+\beta+\gamma)+3\alpha\beta\gamma \end{align*}

Proof:

20240407-184244.png

Referenced by:

index